PREVIOUS

 

Progress made so far

  1. Developed principal equations of motion.

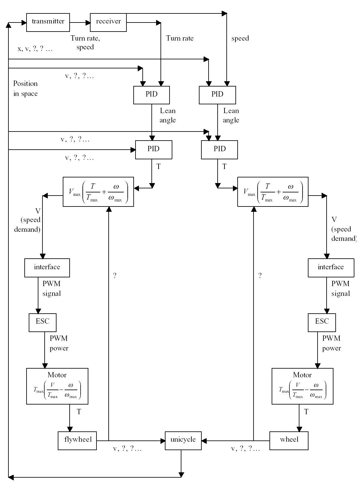
  2. Principal outputs decided. Control system proposed.

  3. Pro/Engineer model.

  4. Unicycle Built.

  5. Recorded motion of unicycle and rider.

  6. Simulink model developed.

 

 

 

NEXT